- 논문 링크 (2018년)
Summary
2018년이라서 조금 예전에 나온 논문이다. Verizon Media의 two-step 최적화 이전의 논문이다. 이 당시에는 surplus에 대한 고려를 같이 하지는 않았고 winning price estimation에 집중했던 것으로 보인다. uncensored auction에 대해서는 pdf을 사용해서, censored auction에 대해서는 cdf을 사용해서 loss function을 구성한다. 일단 winning price에 대한 분포를 가정한다는 점에서 parametric 접근법이다. 거기에 더해서, 파라미터를 bid request 피쳐에 대한 함수로 정의하고, 이 함수를 link structure로 부른다. link structure가 deep neural network인 경우 우수한 성능을 보인다.
Main Idea
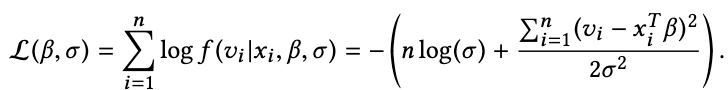
$v_i$을 minimum winning price to win으로 정의하자. $v_i$가 특정 분포를 따른다고 가정해보자. 예를 들어 정규 분포를 따른다면 아래의 log likelihood을 최대화함으로써 파라미터를 최적화할 수 있다.

log likelihood는 uncensored auction에 대해서만 사용할 수 있다. 이때는 winning price가 ssp에 의해 제공되기 때문이다. 위의 식을 조금 더 일반적으로 적어보자.

$f$는 pdf이고, $g$는 link function 이다. 정규 분포인 경우, $g$가 linear function이 된다.
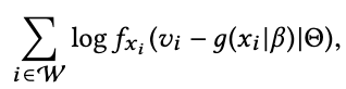
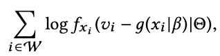
censored auction인 경우를 생각해보자. 입찰 가격을 $l_i$라고 하면, $v_i > l_i$임을 알고 있다. cdf 관점에서, $1 - F(l_i)$로 나타낼 수 있다. 따라서 아래와 같이 censored auction인 상황까지 포함해서 loss function을 정의한다.

$\mathcal{W}$는 이긴 경우, $\mathcal{L}$은 진 경우이다.
link function은 linear부터 wide, deep, cross, wide_and_deep, cross_and_deep 등 다양한 neural network가 쓰일 수 있다. 지금보면 결국 이것도 Verizon Media에서 발표한 논문과 유사한 형태를 띄는 것 같다. 파라미터를 bid request 피쳐의 함수로 보고 그 관계를 딥러닝을 통해서 모델링하기 때문이다.
parametric 접근법이기 때문에 $f$를 log normal 또는 gumbel 분포를 가정한다.
Conclusion
이 논문은 surplus 최대화 문제까지 풀지는 않는다. winning price 추정에 집중하는 논문이다. parametric approach이고 uncensored auction일 대는 mle를, censored auction일 때는 cdf을 활용한다는 점에서 Verizon Media와 거의 비슷한 느낌이다. 다만, surplus 최적화 단계가 없는게 큰 차이점이다.
주의해야할 점은 win auction이 loss auction보다 적을 것이기 때문에 두 loss term의 비중을 잘 조절해야할 것 같다는 생각이 들었다. 또한 winning price에 대한 parametric 접근법을 하는게 맞을까 라는 의문이 들기도 했다. 보통 log-normal을 따른다고는 하나, 현실 데이터에 이런 접근법을 하는게 맞나 싶었다. 여러 논문을 보면서 생각해보기로 하자.
댓글