- 논문 링크 (2020년)
Summary
Yahoo, Verizon Media에서 공동 연구한 논문으로 non-censored auction에서의 bid shading 알고리즘을 소개한다. winning price을 알고 있으므로 regression 으로 bid shading을 제안한다. 다만, winning price 자체를 예측하는 것이 아니라 ratio = bid price / minimum bid to win 으로 정의한 ratio를 예측하는 문제로 바꿔서 푼다.
Main Idea
논문의 notation을 따라가보자.

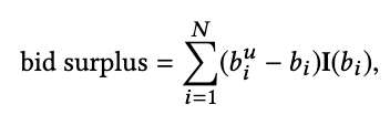
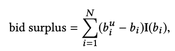
$b^u_i$는 깎기 전의 입찰 가격, $b_i$는 깎은 후의 입찰 가격, $I$는 깎은 가격으로 경매에서 이긴 여부를 의미한다.
이 논문에서 $y$는 bid price / minimum bid to win 이다. 이 ratio을 FM을 통해서 모델링한다.

regression task 이므로 자연스럽게 mse loss을 생각할 수 있다.

그런데, 이 loss function은 오로지 $y$을 맞추는데만 관심이 있다. bid shading 분야는 surplus을 최대화하는 것도 목적임을 잊지 말아야 한다. 따라서, 이 논문에서는 경매에서 이길 때, 질 때에 대한 penalty을 다르게 주는 비대칭 loss function을 제안한다.

만약에 $\alpha > 0$ 이라면 경매에서 질 때에 대한 loss가 더 커지므로 under-prediction에 대해 더 많은 패널티를 부과하는 것이다.
여기서 특이한 점은 $\alpha$을 global하게 세팅하는 것이 아니라 각 입찰별로 다르게 설정한다는 것이다.

opt_surplus = price before shading - minimm price to win 으로, 0에서 1로 정규화된 값이다. opt_surplus는 한 입찰에서 얻을 수 있는 최대의 surplus 이다. 이를 정규화하여 $\gamma$와 비교한다. $\gamma$는 일종의 상방 clipping 이다. under-prediction에 대해 최소한으로 주고 싶은 penalty 느낌이다. opt_surplus가 0.1이라도 $\gamma$가 0.5라면 uder-prediction에 패널티를 더 부과하기 때문이다. 따라서 $\gamma$을 조절하며 패널티의 강도 (=비대칭의 강도)를 조절할 수 있다.
Conclusion
비대칭 loss function은 생각해볼 수 있는 방향이나, ratio을 모델링한다는 점, 입찰별로 파라미터를 튜닝한다는 점이 새로웠다.
댓글